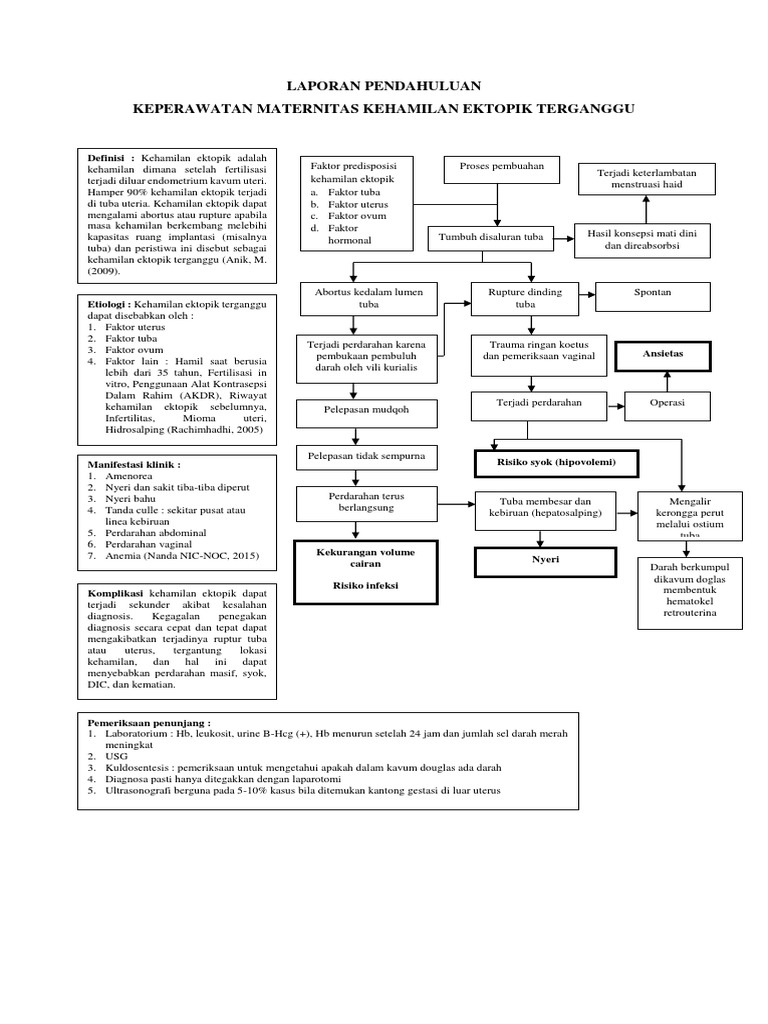
Pathway Kehamilan Ektopik. Kehamilan ektopik disebut juga ectopic pregnancy ectopic gestation eccecyesis. Kondisi ini menyebabkan perdarahan dari vagina dan nyeri hebat di panggul atau perut bawah. Sel telur yang telah dibuahi oleh sperma secara alami seharusnya akan menempel pada dinding rahim. Tanda tidak umum adanya massa lunak di adneksa dan nyeri goyang pada porsio.
Woc Kehamilan Ektopik Pdfcoffee Com
Woc Kehamilan Ektopik Pdfcoffee Com From pdfcoffee.com
More related: Surat Pernyataan Tutup Usaha - Pantun Buat Status Fb - Nomor Jatu Sidney Hari Ini - Wallpaper Hello Kitty Bergerak Android -
Kehamilan ektopik disebut juga ectopic pregnancy ectopic gestation eccecyesis. Kehamilan ektopik dapat mengalami abortus atau ruptur pada dinding tuba dan peristiwa ini disebut sebagai Kehamilan Ektopik Terganggu. BAB I PENDAHULUAN LATAR BELAKANG Kehamilan ektopik adalah suatu kehamilan dimana sel telur yang dibuahi berimplantasi dan tumbuh diluar endometrium kavum uteri. Jenis dari kehamilan ini sangat berbahaya dan mengancam nyawa baik untuk sang ibu maupun janin. Kehamilan ektopik merupakan salah satu dari beberapa jenis kelainan kandungan. Sedangkan kehamilan ektopik terganggu adalah kehamilan ektopik yang berakhir dengan keadaan ruptur atau abortus.
Riwayat ooperasi tuba sebelumnya apakah apakah untuk mempebaiki.
Kehamilan berawal dari sel telur yang telah dibuahi oleh sel sperma. Kehamilan ektopik adalah kehamilan abnormal yang terjadi di luar rongga rahim janin tidak dapat bertahan hidup dan sering tidak berkembang sama sekali. Namun pada kehamilan ektopik hasil pembuahan ini menempel pada tempat lain selain di. Dasar patofisiologi kehamilan ektopik adalah adanya gangguan proses fisiologis organ reproduksi wanita sehingga hasil konsepsi mengalami implantasi dan maturasi di luar rongga uterus. Kehamilan ektopik dapat mengalami abortus atau ruptur pada dinding tuba dan peristiwa ini disebut sebagai Kehamilan Ektopik Terganggu. Sel telur yang telah dibuahi oleh sperma secara alami seharusnya akan menempel pada dinding rahim.
Pathway Kehamilan Ektopik
Source: cupdate1.blogspot.com
Inilah pathway kehamilan ektopik pdf dan ulasan lain yang masih berkaitan dengan topik pathway kehamilan ektopik pdf untuk Anda.
Pathway Ket
Source: scribd.com
Kontraksi otot polos dan denyut siliaris pada tuba falopi berguna sebagai media transportasi oosit.
Pathway Kehamilan Ektopik Teragnggu
Source: id.scribd.com
Kehamilan ektopik adalah kehamilan abnormal yang terjadi di luar rongga rahim janin tidak dapat bertahan hidup dan sering tidak berkembang sama sekali.
Lp Kehamilan Ektopik Mapping
Source: id.scribd.com
Frekuensi kejadian kehamilan ektopik berkisar 1.
Pathway Ket Pdf
Source: es.scribd.com
Kehamilan ektopik disebut juga ectopic pregnancy ectopic gestation eccecyesis.
Kehamilan Ektopik Adalah Pdf
Source: perkembanganjanin.netlify.app
Sebagian besar kehamilan ektopik terganggu berlokasi di tuba 90 terutama di ampula dan isthmus.
Http Husniahzakiah Blogspot Com 2015 08 Kehamilan Ektopik Html
Source:
Kehamilan ektopik dapat mengalami abortus atau ruptur pada dinding tuba dan peristiwa ini disebut sebagai Kehamilan Ektopik Terganggu.
Pathway Kehamilan Ektopik Teragnggu Pdf Txt
Source: pdfcookie.com
Kehamilan ektopik merupakan penyebab kematian ibu pada umur kehamilan trimester pertama.
Https Dlscrib Com Download Pathway Ket Doc 58e22b41dc0d6090208970e1 Pdf
Source:
Meskipun demikian kehamilan ektopik juga dapat terjadi di indung telur rongga perut atau leher rahim.
Http Repository Lppm Unila Ac Id 10413 1 Dr 20ratna 20dps 20 28buku 20ajar 20kehamilan 20dg 20dr 20arif 29 Pdf
Source:
Kehamilan Ektopik Terganggu 35 BAB VII PENUTUP 1.
Iv Proses Rujukan Ibu Hamil Kelompok A
Source: kebijakankesehatanindonesia.net
Kehamilan ektopik merupakan penyebab kematian ibu pada umur kehamilan trimester pertama.
Pathway Ket
Source: pdfslide.tips
Kehamilan berawal dari sel telur yang telah dibuahi oleh sel sperma.
Askep Kehamilan Ektopik Terganggu Dan Mola Hidatidosa Pertemuan
Source: slidetodoc.com
Sel telur yang telah dibuahi oleh sperma secara alami seharusnya akan menempel pada dinding rahim.
Woc Kehamilan Ektopik Pdfcoffee Com
Source: pdfcoffee.com
Kehamilan ektopik merupakan salah satu dari beberapa jenis kelainan kandungan.
Pathway Ket
Source: es.scribd.com
Kemungkinan terjadinya kehamilan ektopik bisa mencapai 1 dari 50 kehamilan.
Pathway Kehamilan Lewat Waktu
Source: unntm.com
Sebagian besar kehamilan ektopik terganggu berlokasi di tuba 90 terutama di ampula dan isthmus.
Woc Kehamilan Ektopik
Source: id.scribd.com
Jenis dari kehamilan ini sangat berbahaya dan mengancam nyawa baik untuk sang ibu maupun janin.
Http Abuzzahra1980 Blogspot Com 2013 06 Askep Kehamilan Ektopik Html
Source:
Kehamilan ektopik adalah kelainan implantasi dari pembuahan sel telur.
